雷速体育下载-雷速体育app

雷速体育下载
本科生通知
本科生通知
当前位置: 主页  >  本科生通知  >  正文

关于对学校2023年七一表彰大会学生工作人员进行通报表扬的决定

来源: 作者:李靓审核人:发布时间:2023-07-10点击数:

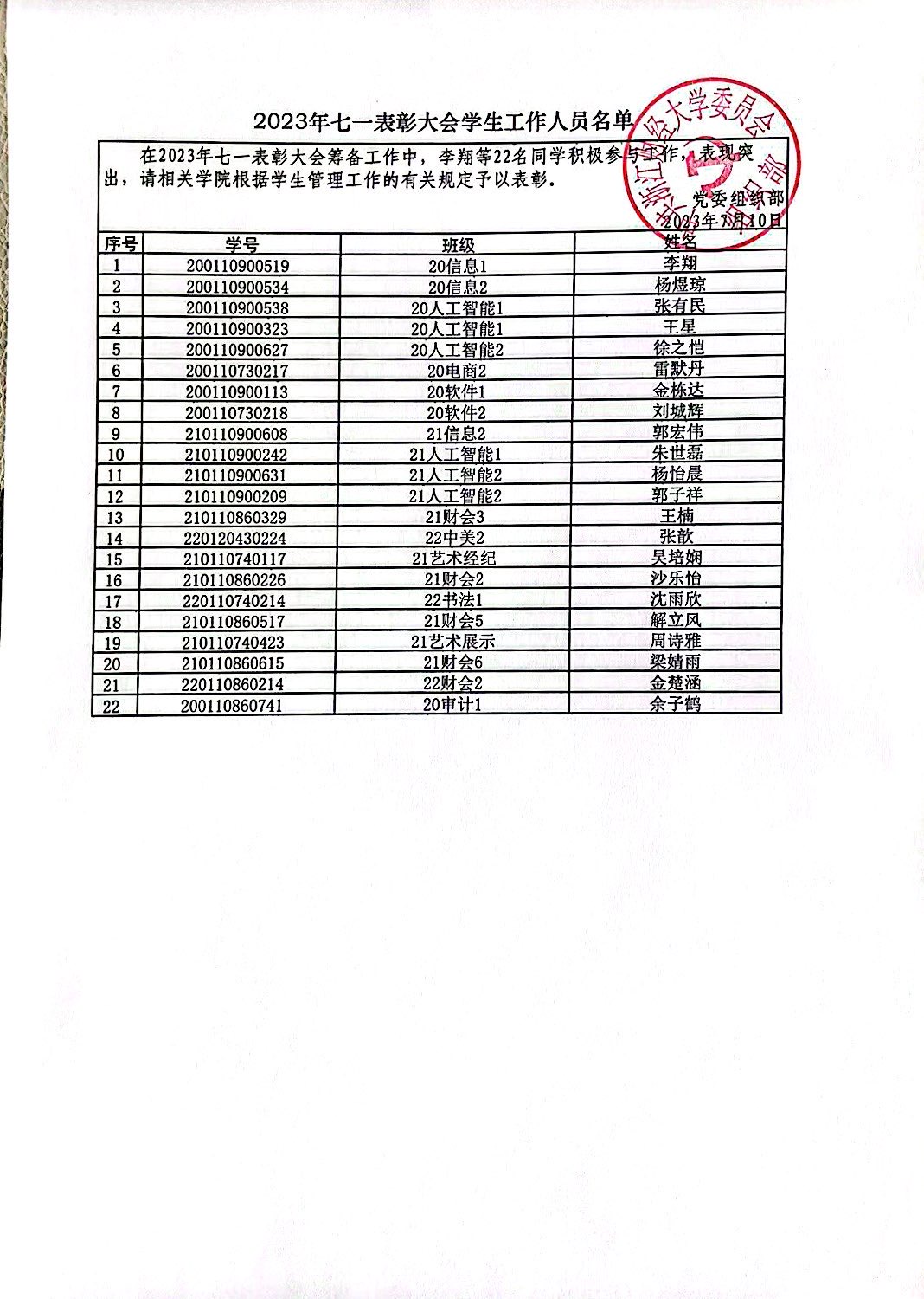
2023年6月29日,雷速体育app 圆满完成了学校“循迹溯源学思想 砥砺奋进建新功”七一表彰大会的承办工作。期间,李翔等22名同学担任学生工作人员,扎实工作,甘于奉献,表现突出,积极协助校党委组织部和学院党委完成大会的筹备和组织工作,大会得到学校领导和师生党员的广泛好评。经校党委组织部研究决定,对上述同学进行通报表扬,以资鼓励。名单如下:

信息管理与人工智能学院

2023年7月10日


关闭